根据《云南省人力资源和社会保障厅云南省教育厅云南省财政厅云南省公安厅云南省民政厅云南省农业农村厅云南省残疾人联合会关于做好高校毕业生一次性求职补贴发放工作的通知》(云人社通〔2024]17号)文件要求,学院认真贯彻落实高校毕业生求职创业补贴申请专项工作,现将2026届毕业生求职补贴符合人员申报公示名单公示如下(见附件),公示期自即日起五个工作日,公式无误后报普洱市公共就业和人才服务中心审核批准。凡对以上结果存在异议,请以实名制书面形式向学生科反应,联系电话0879-3028687。
特此公式。
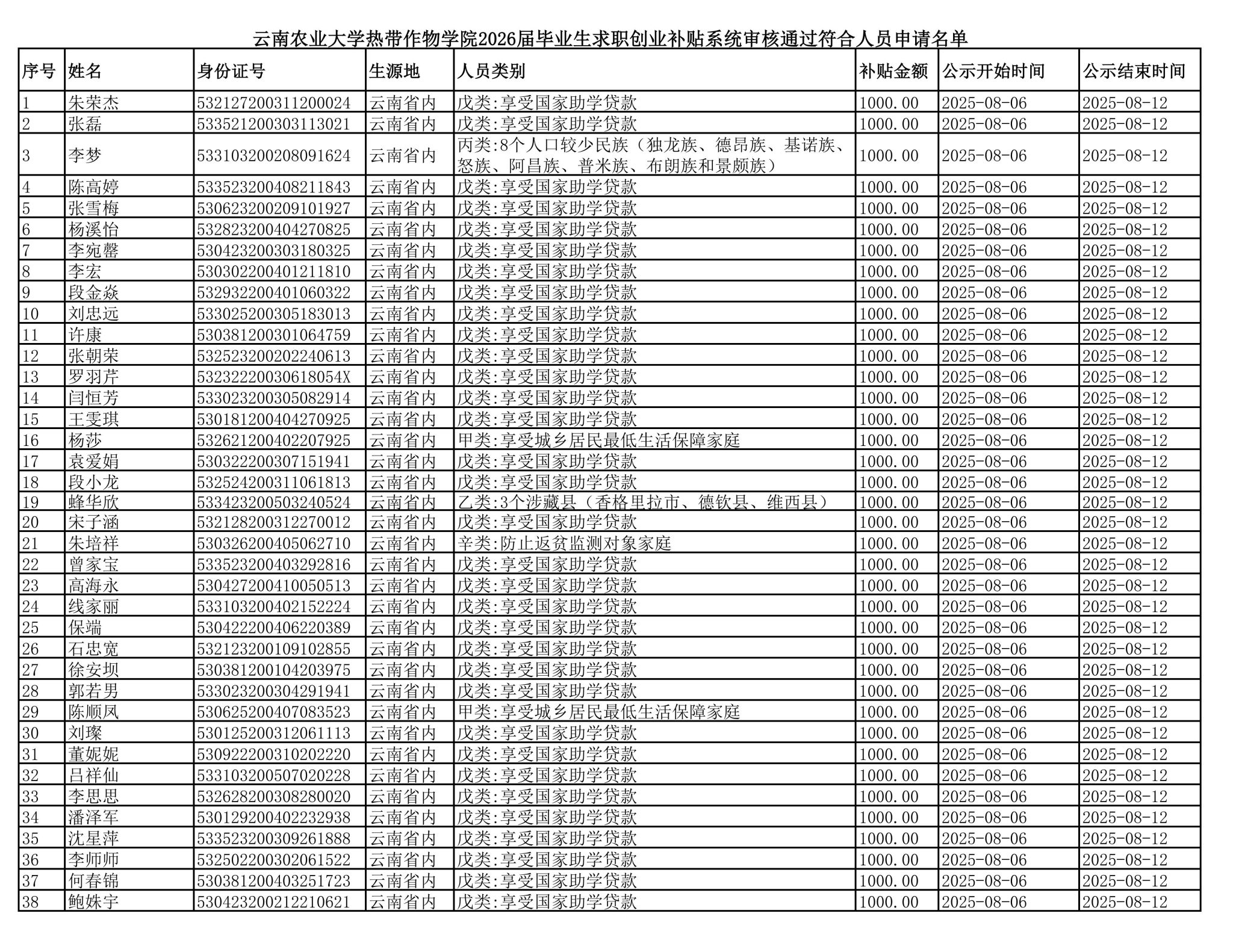
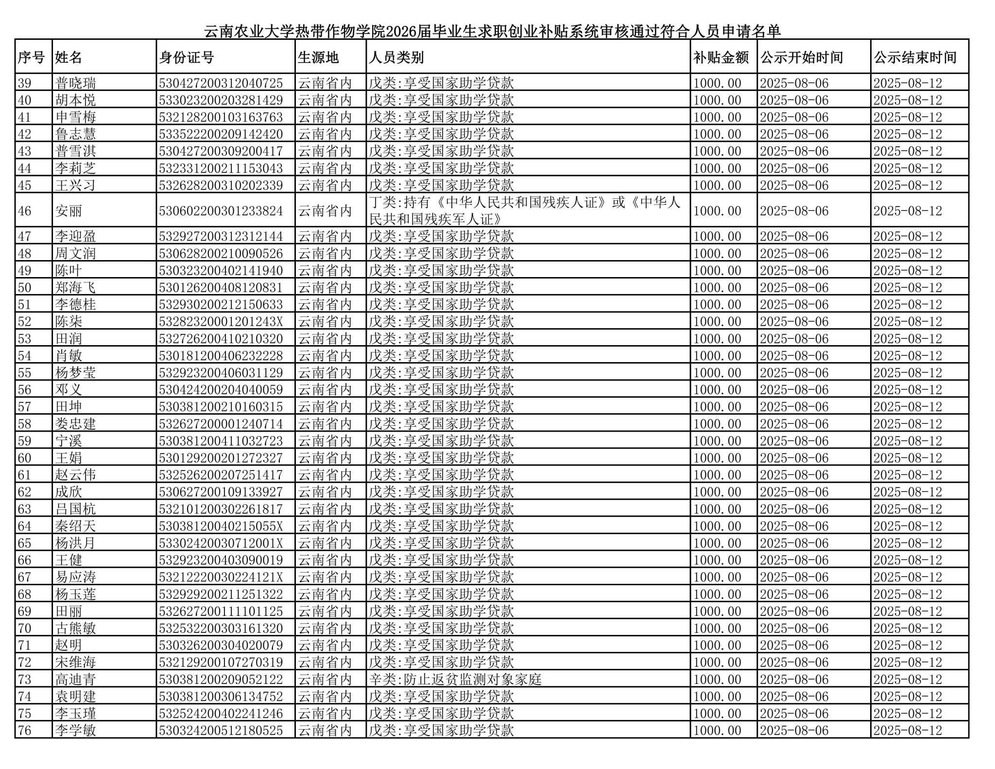
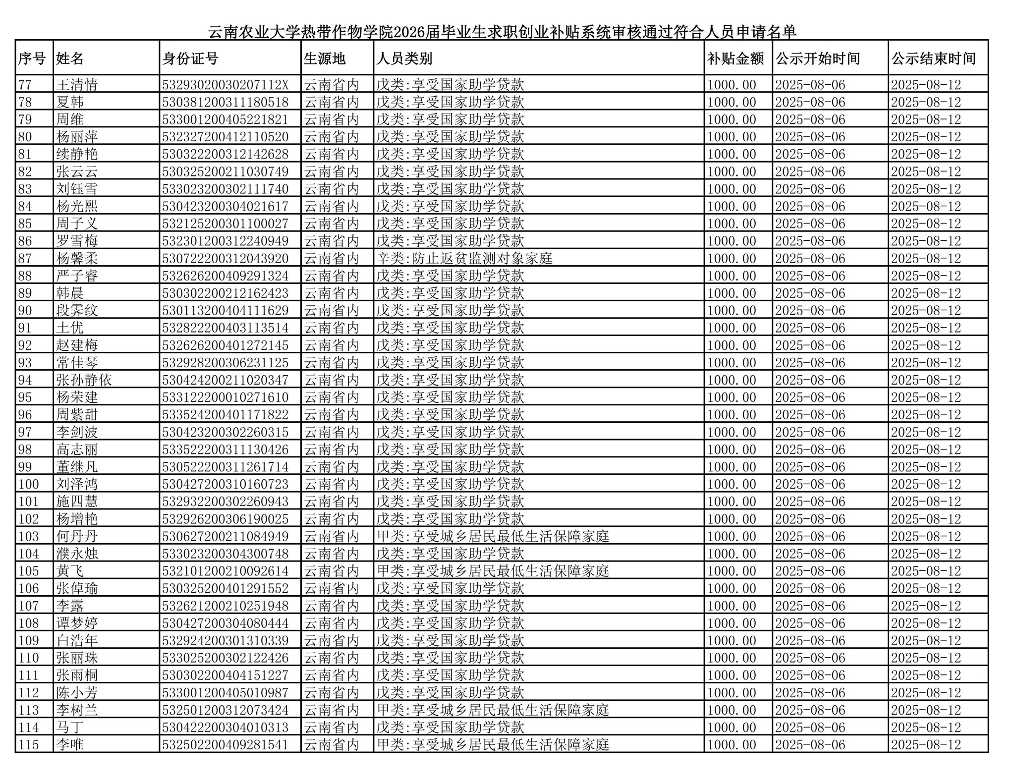
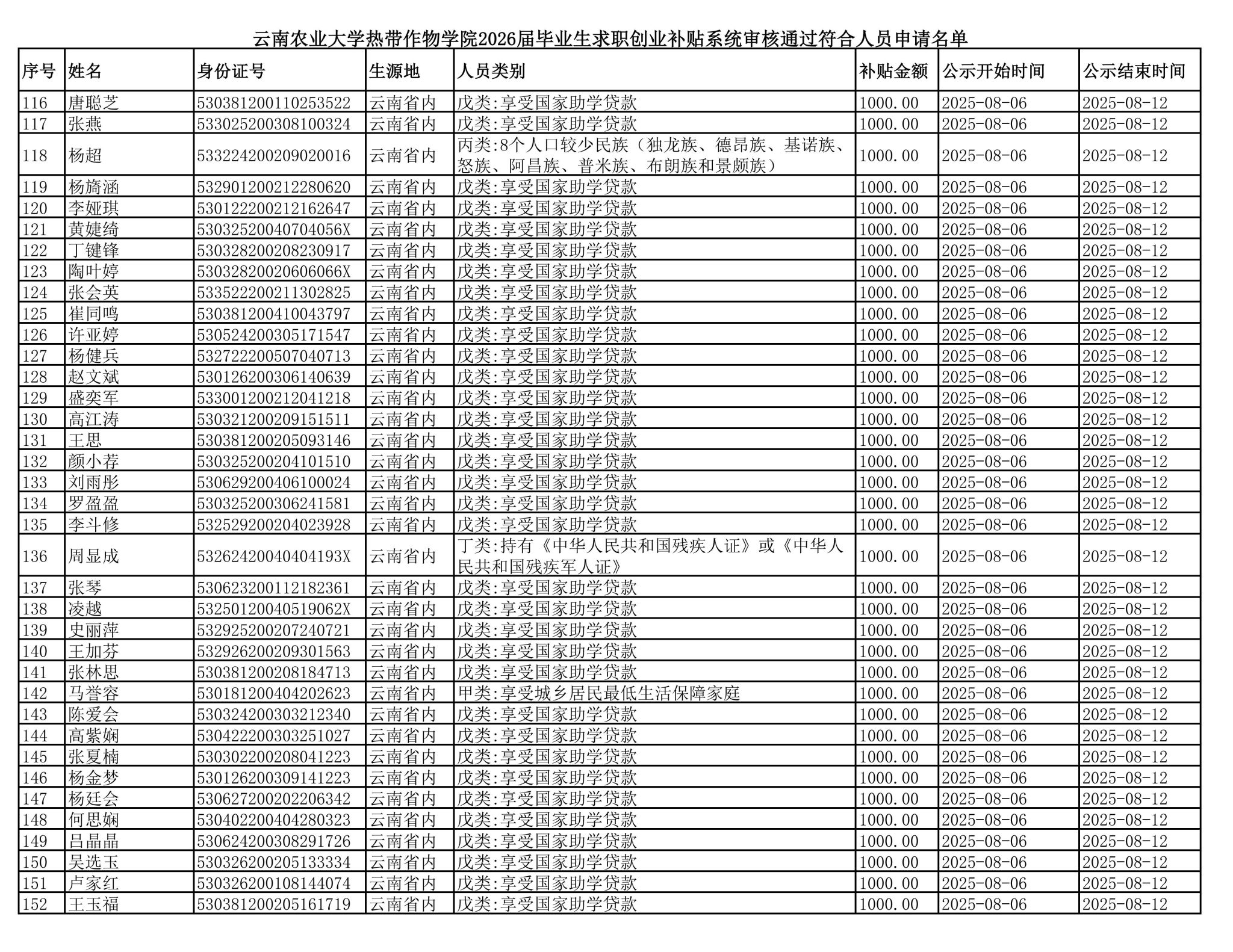
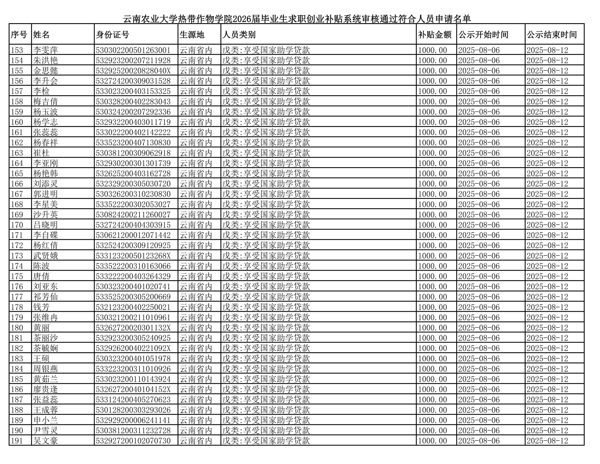
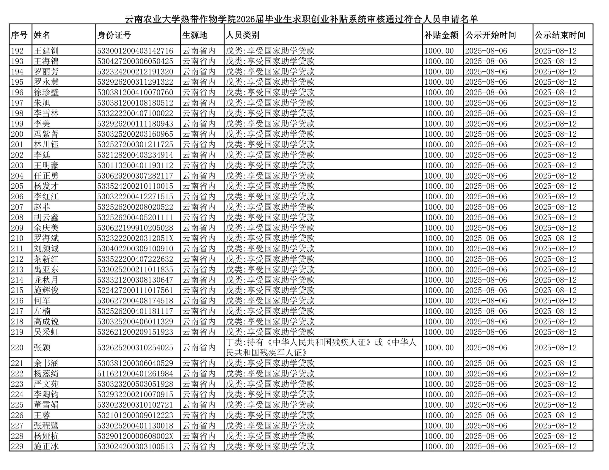
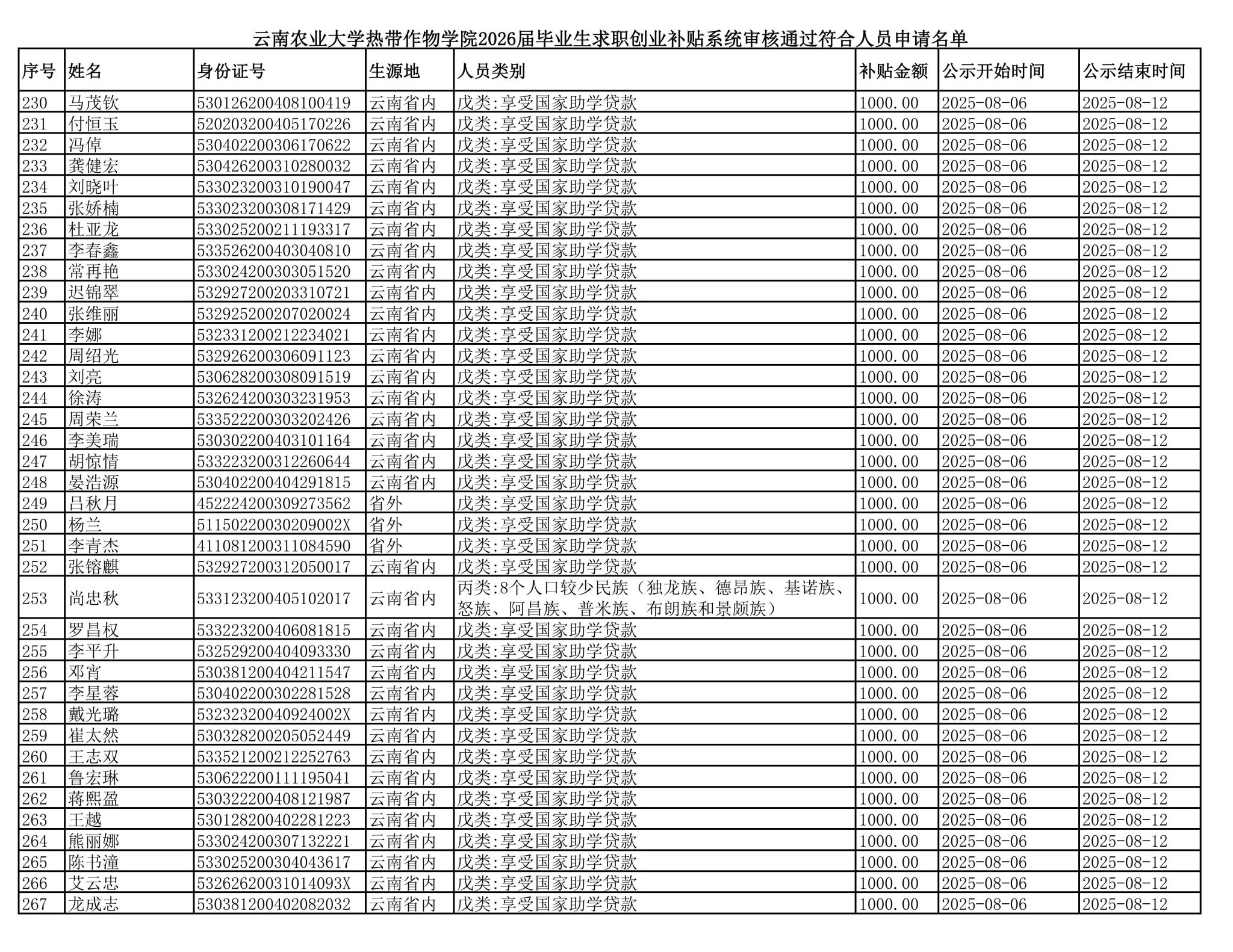
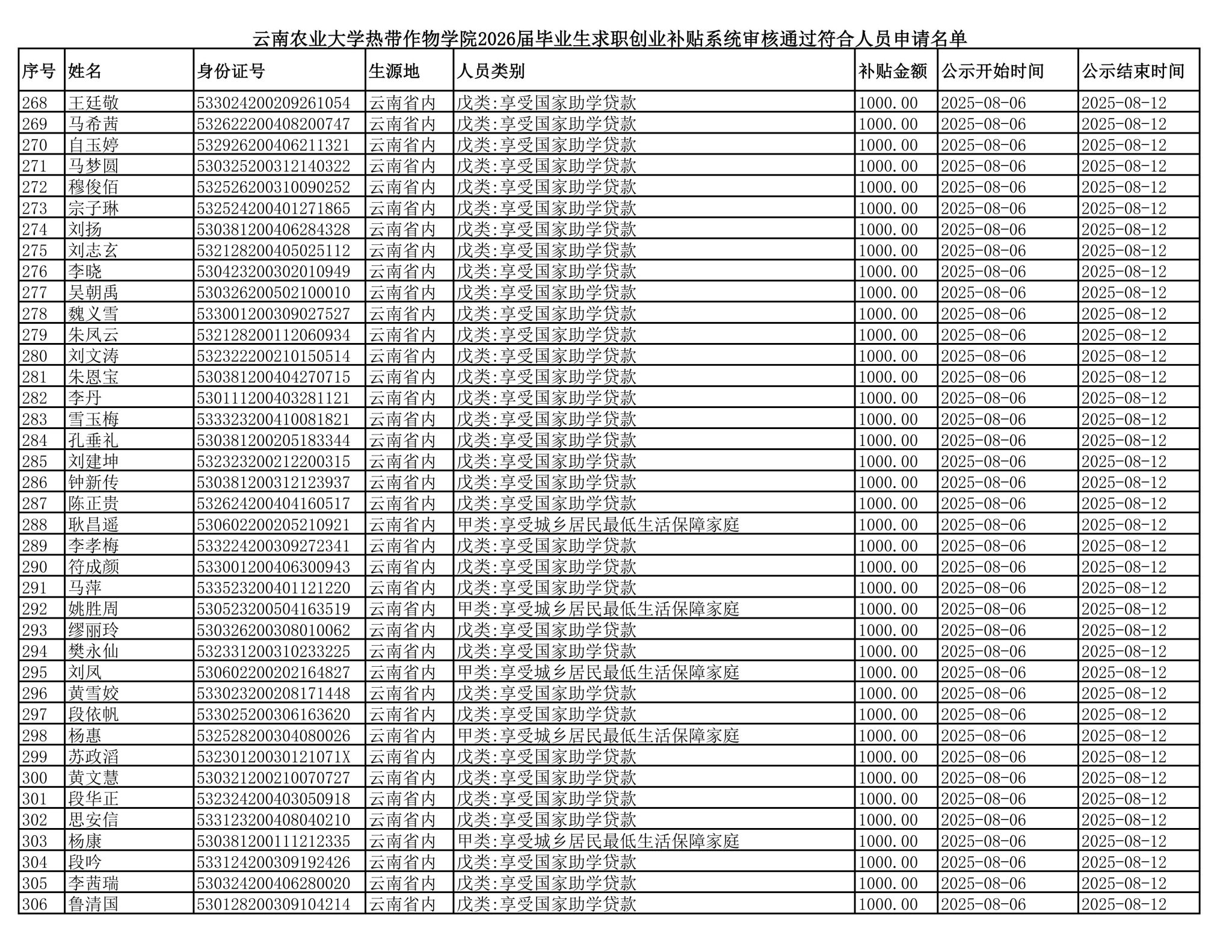
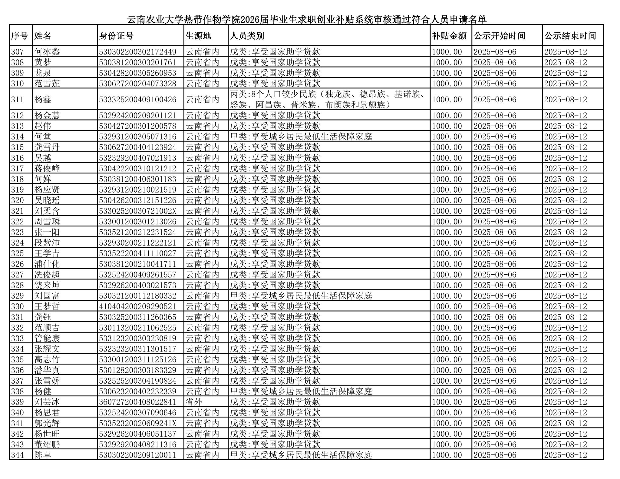
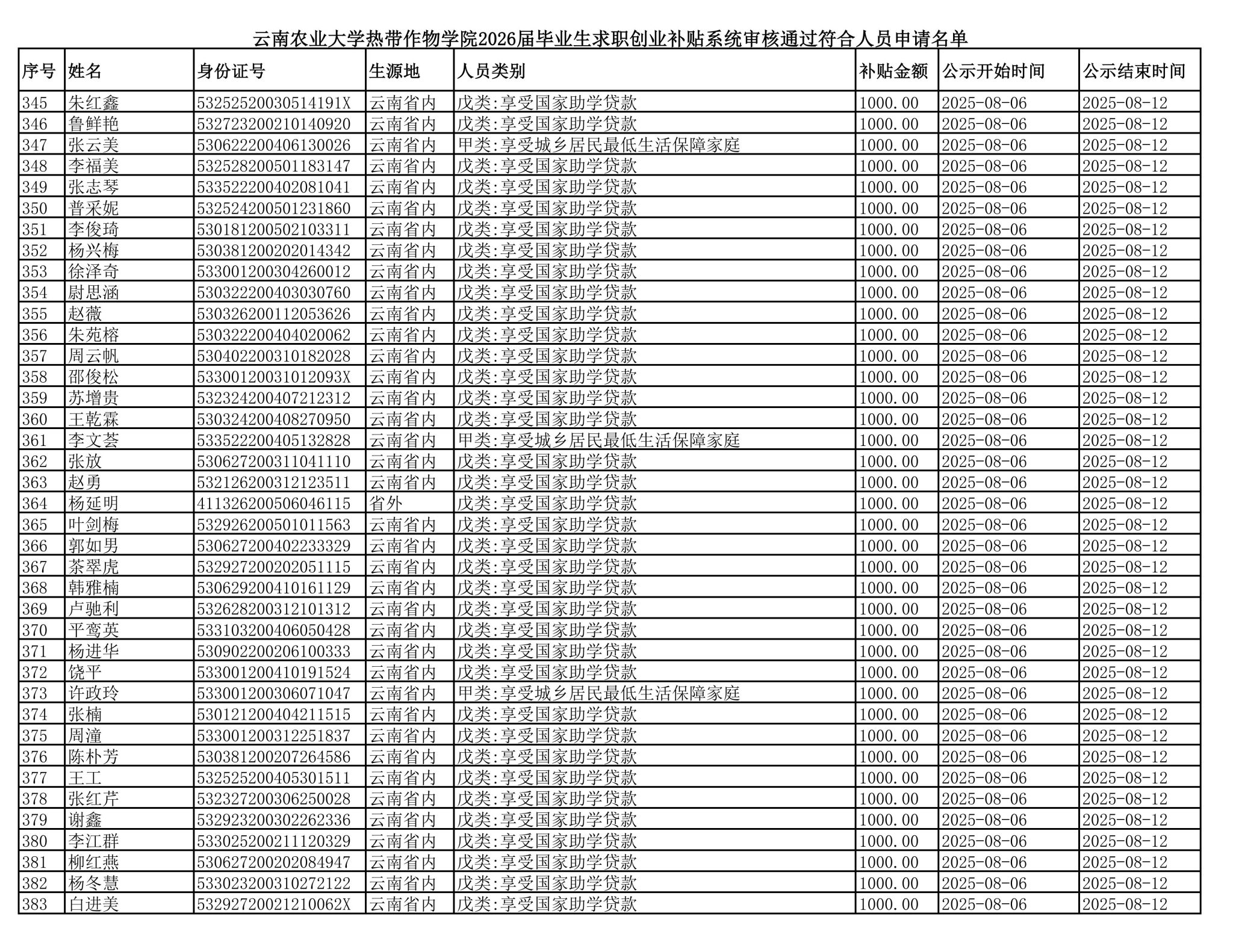
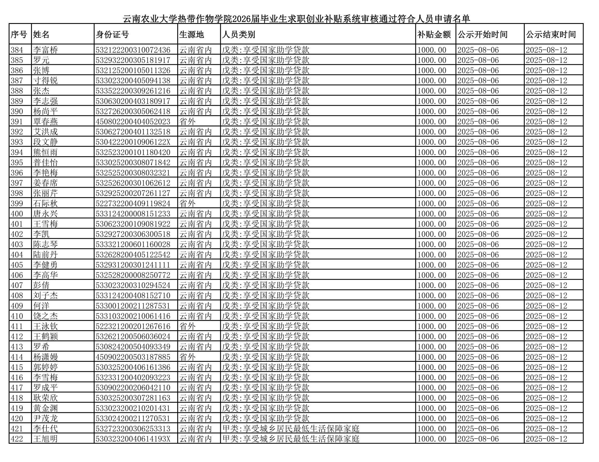
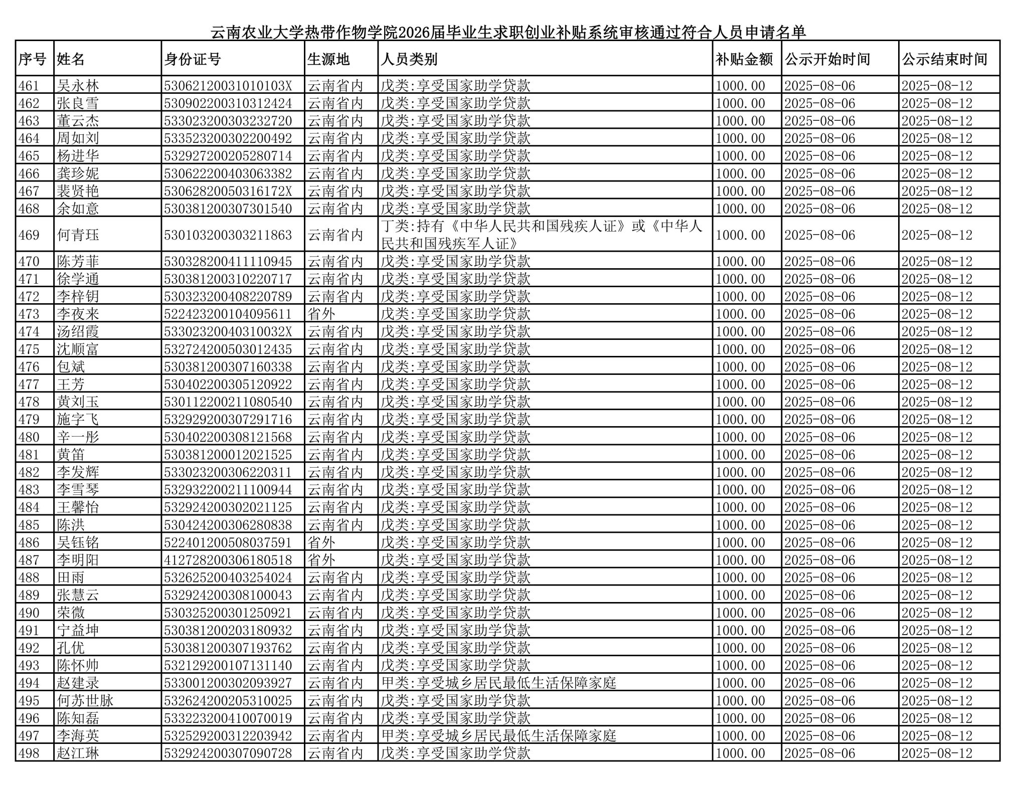
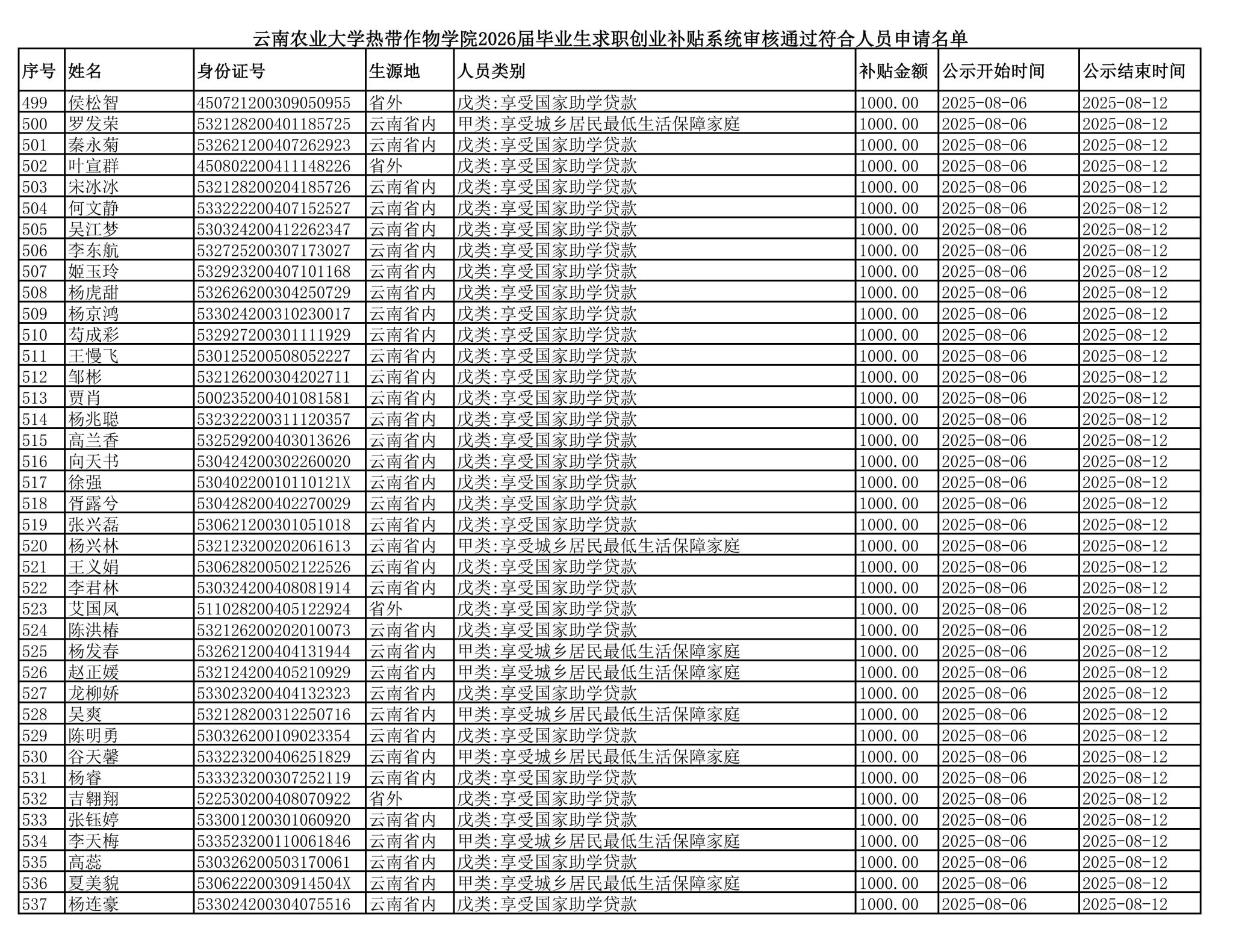
附件:bat365中文官方网站2026届毕业生求职创业补贴系统审核通过符合人员申请名单














